ÉúÒâÌáÐÑ
ת·¢ÖнðËù¹ØÓÚ30ÄêÆÚ¹úÕ®ÆÚ»õºÏÔ¼ÉÏÊÐÉúÒâÓйØÊÂÏîµÄ֪ͨ
04.14 / 2023
ÉúÒâ·ç¿Ø²¿
¸÷»áÔ±µ¥Î»£º
ÖйúÖ¤¼à»áÒÑÔÞ³ÉÖйú½ðÈÚÆÚ»õÉúÒâËù30ÄêÆÚ¹úÕ®ÆÚ»õ×¢²á¡£¡£¡£¡£¡£¡£ÏÖ½«30ÄêÆÚ¹úÕ®ÆÚ»õºÏÔ¼ÉÏÊÐÉúÒâÓйØÊÂÏî֪ͨÈçÏ£º
Ò»¡¢ÉÏÊÐÉúÒâʱ¼ä
30ÄêÆÚ¹úÕ®ÆÚ»õºÏÔ¼×Ô2023Äê4ÔÂ21ÈÕ£¨ÐÇÆÚÎ壩ÆðÉÏÊÐÉúÒâ¡£¡£¡£¡£¡£¡£
¶þ¡¢ÉÏÊÐÉúÒâºÏÔ¼ºÍ¹ÒÅÌ»ù×¼¼Û
30ÄêÆÚ¹úÕ®ÆÚ»õÊ×ÅúÉÏÊкÏԼΪ2023Äê6Ô£¨TL2306£©¡¢2023Äê9Ô£¨TL2309£©ºÍ2023Äê12Ô£¨TL2312£©¡£¡£¡£¡£¡£¡£¸÷ºÏÔ¼¹ÒÅÌ»ù×¼¼ÛÓÉÉúÒâËùÔÚºÏÔ¼ÉÏÊÐÉúÒâǰһÉúÒâÈÕÐû²¼¡£¡£¡£¡£¡£¡£
Èý¡¢ÉúÒâ°ü¹Ü½ðºÍÕǵøÍ£°å·ù¶È
30ÄêÆÚ¹úÕ®ÆÚ»õ¸÷ºÏÔ¼µÄÉúÒâ°ü¹Ü½ðΪºÏÔ¼¼ÛÖµµÄ3.5%£¬£¬£¬£¬£¬£¬×Ô½»¸îÔ·Ý֮ǰµÄÁ½¸öÉúÒâÈÕ½áËãʱÆð£¬£¬£¬£¬£¬£¬ÉúÒâ°ü¹Ü½ð±ê׼ΪºÏÔ¼¼ÛÖµµÄ5%¡£¡£¡£¡£¡£¡£¶Ô2ÄêÆÚ¹úÕ®ÆÚ»õ¡¢5ÄêÆÚ¹úÕ®ÆÚ»õ¡¢10ÄêÆÚ¹úÕ®ÆÚ»õºÍ30ÄêÆÚ¹úÕ®ÆÚ»õµÄ¿çÆ·ÖÖË«Ïò³Ö²Ö£¬£¬£¬£¬£¬£¬Æ¾Ö¤ÉúÒâ°ü¹Ü½ðµ¥±ß½Ï´óÕßÊÕÈ¡ÉúÒâ°ü¹Ü½ð¡£¡£¡£¡£¡£¡£ÉÏÊе±ÈÕ¸÷ºÏÔ¼µÄÕǵøÍ£°å·ù¶ÈΪ¹ÒÅÌ»ù×¼¼ÛµÄ¡À7%¡£¡£¡£¡£¡£¡£
ËÄ¡¢Ïà¹ØÓöÈ
30ÄêÆÚ¹úÕ®ÆÚ»õºÏÔ¼µÄÊÖÐø·Ñ±ê×¼Ôݶ¨ÎªÃ¿ÊÖ3Ôª£¬£¬£¬£¬£¬£¬Æ½½ñ²ÖÉúÒâÃâÊÕÊÖÐø·Ñ£¬£¬£¬£¬£¬£¬½»¸îÊÖÐø·Ñ±ê׼ΪÿÊÖ5Ôª£¬£¬£¬£¬£¬£¬½»¸îÊÖÐø·ÑÖÁ2023Äê12ÔÂ31ÈÕÖ¹¼õ°ëÊÕÈ¡¡£¡£¡£¡£¡£¡£ÉúÒâËùÓÐȨƾ֤Êг¡ÔËÐÐÇéÐεÐÊÖÐø·Ñ±ê×¼¾ÙÐе÷½â¡£¡£¡£¡£¡£¡£
Îå¡¢ÉúÒâÖ¸Áîÿ´Î×î´óϵ¥ÊýÄ¿
30ÄêÆÚ¹úÕ®ÆÚ»õ¸÷ºÏÔ¼ÏÞ¼ÛÖ¸Áîÿ´Î×î´óϵ¥ÊýĿΪ50ÊÖ£¬£¬£¬£¬£¬£¬ÊмÛÖ¸Áîÿ´Î×î´óϵ¥ÊýĿΪ30ÊÖ¡£¡£¡£¡£¡£¡£
Áù¡¢¿É½»¸î¹úÕ®¡¢×ª»»Òò×Ó¼°Ó¦¼ÆÀûÏ¢
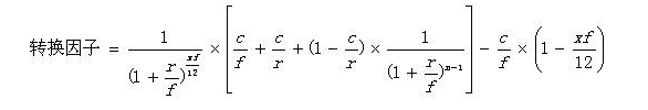
30ÄêÆÚ¹úÕ®ÆÚ»õ¸÷ºÏÔ¼µÄ¿É½»¸î¹úÕ®ºÍת»»Òò×ÓÓÉÉúÒâËùÔÚºÏÔ¼ÉÏÊÐÉúÒâǰÐû²¼¡£¡£¡£¡£¡£¡£Æäת»»Òò×ÓÅÌË㹫ʽÈçÏ£º
ÆäÖУ¬£¬£¬£¬£¬£¬r£º30ÄêÆÚ¹úÕ®ÆÚ»õºÏÔ¼Æ±ÃæÀûÂÊ3%£»£»£»£»£»£»
x£º½»¸îÔµ½ÏÂÒ»¸¶Ï¢ÔµÄÔ·ÝÊý£»£»£»£»£»£»
n£ºÊ£ÓึϢ´ÎÊý£»£»£»£»£»£»
c£º¿É½»¸î¹úÕ®µÄÆ±ÃæÀûÂÊ£»£»£»£»£»£»
f£º¿É½»¸î¹úծÿÄêµÄ¸¶Ï¢´ÎÊý¡£¡£¡£¡£¡£¡£
ÅÌËãЧ¹ûËÄÉáÎåÈëÖÁСÊýµãºó4λ¡£¡£¡£¡£¡£¡£
ÆäÓ¦¼ÆÀûÏ¢µÄÈÕ¼ÆÊý»ù׼Ϊ¡°ÏÖʵÌìÊý/ÏÖʵÌìÊý¡±£¬£¬£¬£¬£¬£¬¼´Ã¿100Ôª¿É½»¸î¹úÕ®µÄÓ¦¼ÆÀûÏ¢ÅÌË㹫ʽÈçÏ£º
Ó¦¼ÆÀûÏ¢=(¿É½»¸î¹úÕ®Æ±ÃæÀûÂÊ¡Á100)/ÿÄ긶Ϣ´ÎÊý¡Á(µÚ¶þ½»¸îÈÕ-ÉÏÒ»¸¶Ï¢ÈÕ)/Ä¿½ñ¸¶Ï¢ÖÜÆÚÏÖʵÌìÊý
ÅÌËãЧ¹ûËÄÉáÎåÈëÖÁСÊýµãºó7λ¡£¡£¡£¡£¡£¡£
Æß¡¢×öÊÐÉֲ̳ÖÏÞ¶î
×öÊÐÉÌËùÓÐÔ·Ý30ÄêÆÚ¹úÕ®ÆÚ»õºÏÔ¼µ¥±ß³Ö²ÖÏÞ¶îΪ6000ÊÖ£¬£¬£¬£¬£¬£¬Ä³Ò»ºÏÔ¼ÔÚ½»¸îÔ·Ý֮ǰµÄÒ»¸öÉúÒâÈÕÆð£¬£¬£¬£¬£¬£¬µ¥±ß³Ö²ÖÏÞ¶îΪ1200ÊÖ¡£¡£¡£¡£¡£¡£
30ÄêÆÚ¹úÕ®ÆÚ»õºÏÔ¼ÉÏÊÐÉúÒâÆäËûÊÂÏîÁíÐÐÐû²¼¡£¡£¡£¡£¡£¡£
¸÷»áÔ±µ¥Î»ÒªÈÏÕæ×öºÃ30ÄêÆÚ¹úÕ®ÆÚ»õºÏÔ¼ÉÏÊÐÉúÒâµÄ¸÷Ïî×¼±¸ÊÂÇ飬£¬£¬£¬£¬£¬ÑÏ¿á¿ØÖÆÊг¡Î£º¦£¬£¬£¬£¬£¬£¬È·±£30ÄêÆÚ¹úÕ®ÆÚ»õƽÎÈÍÆ³öºÍÇå¾²ÔËÐС£¡£¡£¡£¡£¡£
ÌØ´Ë֪ͨ¡£¡£¡£¡£¡£¡£
¡¡
Öйú½ðÈÚÆÚ»õÉúÒâËù
2023Äê4ÔÂ14ÈÕ
Ïà¹ØÍÆ¼ö
-
ÉúÒâÌáÐÑ£¨20250718£©
07.18 / 2025
-
ת·¢¹ãÆÚËù¹ØÓڶԶྦྷ¹èÆÚ»õʵÑéÉúÒâÏÞ¶î¼°µ÷½â¹¤Òµ¹èÆÚ»õSI2509ºÏÔ¼ÉúÒâÏÞ¶îµÄ֪ͨ
07.18 / 2025
-
ÉúÒâÌáÐÑ£¨20250717£©
07.17 / 2025
-
½øÈë½»¸îÔÂΣº¦ÌáÐÑ
07.16 / 2025
-
¹ØÓÚÖ£ÖÝÉÌÆ·ÉúÒâËùCJ2509¡¢PX2509ÆÚȨºÏÔ¼µ½ÆÚµÄ֪ͨ
07.16 / 2025







¾©¹«Íø°²±¸ 11010502033121ºÅ 